O que se observa na figura acima???





Pois é, observando o diagrama, vê-se que o sentido de rotação do gira-gira é contrário a força aplicada no chão. Um exemplo parecido, que pode ser citado, é o do hamster que corre em sua rodinha. O sentido de giro do rodinha é oposto em relação ao deslocamento do hamster, ou seja, o ratinho corre para frente e a rodinha para trás. Dizemos que o gira-gira e a criança formam um sistema, assim como o ratinho e sua roda.

Essas situações podem ser interpretadas da seguinte forma: a origem de um movimento de rotação está sempre associada à origem de um outro movimento de rotação, porém em sentido oposto. No nossa caso específico,  é perceptível que não conseguimos empurrar a Terra para o outro lado, pois sua massa é imensamente maior que a nossa.

Interessante em tudo isso é que parece haver ligação entre os dois movimentos: um compensa o outro. Assim, podemos pensar que há conservação de “alguma coisa” nesses sistemas. Fazendo uma analogia aos sistemas onde há movimentos de translação, na rotação também há algo que se conserva. Chamamos este “algo” de quantidade de movimento angular ou MOMENTO ANGULAR. Baseado nessa idéia, podemos verificar que há muita Física nesses movimentos de rotação que apresentam conservação.

Pensemos no seguinte caso: se duas crianças subirem no gira-gira e ao mesmo tempo aplicarem forças no mesmo sentido, ele irá girar duas vezes mais rápido que se houvesse somente uma criança. Porém, se uma das crianças tentar girar para um lado e a outra para o outro lado, poderá haver uma compensação das quantidade de movimento angular e o gira-gira não se moverá para nenhum dos lados.



Aumentando a velocidade sem fazer força

Será que isso é possível???  Sem aplicar força alguma, fazer variar a velocidade??? Ë que podemos discutir. Veja a foto abaixo:



Se a mesma criança se posicionar na borda do gira-gira ou mais próximo do centro, aplicando a mesma força inicial, em qual situação a velocidade de giro será maior???
Faça a experiência e verá.

O aumento ou diminuição da velocidade de giro podem ser obtidos pela alteração da distribuição das massas em rotação, ou seja, alterando a inércia rotacional do que está girando. Quando se inicia uma rotação, uma maior inércia exigirá mais força, dificultando o movimento. Se a inércia rotacional for menor, será necessária a aplicação de uma força menor para obter a mesma velocidade. Chamamos esse “dificuldade” ou inércia de rotação de MOMENTO DE INÉRCIA. O momento de inércia representa para as rotações o que a massa representa para a translação, com outros dois fatores: o momento de inércia depende da massa e de sua distribuição ao redor do eixo de rotação.

Podemos responder a pergunta inicial: a criança mais próxima ao centro do gira-gira tem uma velocidade maior, pois a massa do sistema (criança + gira-gira) está distribuída mais nas proximidades do eixo de rotação do brinquedo.

Usando um pouco de matemática, chegamos a expressão do momento de inércia I, como segue:

 

onde identificamos m como sendo a massa do objeto e r a distância dele até o eixo de rotação. Vemos que o momento de inércia é diretamente proporcional ä massa e ao quadrado da distância do eixo de rotação.

Ainda temos um problema: que objeto é esse com massa m??? Será a criança ou o gira-gira??? Nem um nem outro... ou melhor, os dois juntos... Não podemos tratar nenhum deles reduzindo a um simples objeto pontual, como por exemplo no caso de uma pedra amarrada em uma corda de massa desprezível, girando... Para melhorar essa expressão, podemos aproximá-la da realidade que estamos estudando: vamos calcular o momento de inércia usando a soma dos momentos de inércia de cada pequena porção do objeto, ou do sistema, em relação ao eixo de rotação.

 


A expressão permite o cálculo do momento de inércia de objetos de formas regulares, bem como de objetos com formar irregulares, que também podem ser medidos experimentalmente. Interessante notar que a distribuição da massa e a forma do corpo não interferem na direção de translação de um corpo (momento linear).



As diferentes velocidades

Podemos notar facilmente que há diferenças de velocidades quando nos afastamos do eixo de rotação do gira-gira. Vamos desenvolver um raciocínio até chegarmos numa expressão matemática que ajude a entender porque isso acontece.

Vejamos a figura abaixo:





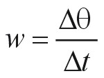
 A figura acima descreve duas posições diferentes de giro no mesmo gira-gira. Sabemos que a distância percorrida no ponto (a) corresponde a 2πr1 e, consequentemente, no ponto (b) será  2πr2. O tempo do deslocamento é o mesmo para os dois pontos. Podemos medir a distância percorrida de duas formas diferentes: usando o comprimento do arco, com as fórmulas apresentadas acima, ou medir a variação do ângulo (Δθ). Na Física, usamos medidas de ângulos em radianos ( texto do Gref do aluno - mecânica 1). Definimos o módulo da chamada velocidade angular (w) como sendo, então:  





Veja o exemplo do relógio. Qual a velocidade do ponteiro dos segundos???

clique aqui para ver a hora certa...

É isso mesmo... Uma volta a cada 60 segundos...  É isso... Assim podemos medir a freqüência do movimento.

Precisamos ainda pensar numa definição para o sentido do giro, que determina a direção do movimento da roda. Pense na seguinte situação: alguém observa o giro de uma hélice de ventilador se posicionando de duas maneiras diferentes, ora na frente e ora atrás do ventilador. No primeiro momento, a pessoa poderá dizer que o movimento é no sentido horário (de frente para o ventilador), enquanto que no segundo momento, se posicionando atrás do ventilador, o sentido do giro é anti-horário. Você pode verificar isso sem muito esforço. Temos então um impasse: qual e o sentido do giro? Horário ou anti-horário? De que lado devemos estar para determinar esse sentido?



Será muito interessante estabelecer uma regra para que não haja necessidade de observar o lado (frente ou trás) para definir o sentido de giro do ventilador ou de qualquer outra coisa que gire. Acompanhe o raciocínio: usando sua mão direita, posicione o polegar na direção do eixo de rotação, fazendo girar o resto dos dedos na mesma direção do giro da roda, ou pá do ventilador, ou do gira-gira, etc... Observe o desenho abaixo. Ele o ajudará nessa tarefa de identificar o sentido do giro. Podemos ver que o polegar apontará, obrigatoriamente, para dentro da roda ou para fora, não importando o lado que você observa o movimento. Com isso, definimos o vetor v, ou vetor velocidade angular, que possui direção perpendicular ao plano onde se move o objeto e o sentido depende da notação horário ou anti-horário.



                                               


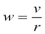
Ainda temos outra velocidade envolvida nessa situação: a velocidade linear, que tangencia a curva e tem seu módulo determinado a partir do módulo do vetor w. Como já vimos, a velocidade linear mais perto do eixo de rotação é maior que aquela num ponto mais afastado. Fica fácil ver uma dependência nesse caso: quanto maior o raio, menor a velocidade linear. A expressão matemática já pode ser construída:

 
Onde w é a velocidade angular, v a velocidade linear num ponto e r a distância do ponto ao eixo de rotação.



Fazendo variar a quantidade de movimento

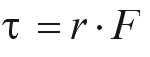
Para aumentar ou diminuir a velocidade do gira-gira, ou de outro corpo girante qualquer, precisamos aplicar sobre ele uma força. Como citamos lá no início, para iniciar o giro no brinquedo, alguém deverá impulsionar a roda, apoiando-se no chão. Para que a força aplicada seja minimizada, ela deverá ser aplicada na parte mais externa da roda. Isso você também pode testar: vá até o brinquedo e aplique uma força em diferentes pontos, conforme indica a figura abaixo:





Note que se aplicarmos a força da direção do raio de giro (para dentro)(1), não haverá alteração na quantidade de movimento e o brinquedo permanecerá parado. Por outro lado, quando mais perpendicular a esse raio (2), maior será o efeito. No ponto (3), serã necessária a aplicação de mais força para se obter o mesmo resultado da posição 1. Aqui podemos introduzir mais um conceito novo: o torque. O torque, como vimos, varia em função da distância e do ângulo de incidência com relação ao raio de giro. Matematicamente, escrevemos o torque da seguinte forma:

 

Da mesma forma que a velocidade angular, o torque é uma grandeza física que, para ser completamente determinada, precisa Ter definidos seu valor (módulo), direção e sentido. Para determinar o sentido do torque, podemos usar a regra da mão direita da mesma forma como fizemos anteriormente, tendo o polegar como indicar do sentido desse torque.



Por fim, podemos sintetizar três leis para o movimento angular, análogas ao movimento translacional:

Primeira Lei: “Na ausência de torques externos mantém-se a rotação de um objeto”

Segunda Lei: “A variação da quantidade de movimento angular é proporcional ao torque e ao intervalo de tempo que esse torque é exercido”

Terceira Lei: “A toda ação de um torque corresponde um torque de reação de mesma intensidade e direção, porém sentido oposto” (lembrar que ação e reação não se aplicam ao mesmo corpo)





Retorna





Programas de apoio:

Clique para baixar o Adobe Acrobat 6.0

Baixe o Winzip 8.0




Referências de pesquisa
http://www.unc.edu/~sonyah/index.html
http://www.fisica.ufpb.br/~romero/port/notas_de_aula.htm

Gref - Livro do Professor - Mecânica
Gref do Aluno - Mecânica 1


Textos de apoio para o professor (no formato pdf):

Rotação - Prof. Romeu Tavares da Silva - UFPB
Torque e momento angular - Prof. Romeu Tavares da Silva - UFPB


volta ao topo da página